降压型非隔离DC-DC转换器的工作原理

发布时间:2023-11-28 09:03:04     浏览:1485

  降压型DC-DC转换器是一种常用的电子器件,用于将较高的输入电压转换为较低的输出电压。其工作原理如下:

  1、输入电压通过一个开关(通常是一个功率MOSFET)连接到一个电感和一个滤波电容。开关周期性地打开和关闭,控制能量的流动。

  2、当开关关闭时,输入电压施加在电感上,使电流以指数上升的方式增加。这存储了能量在电感中。

  3、当开关打开时,电感中的磁场崩塌,产生一个反向电压。根据Lenz定律,这个反向电压使电流继续流动,但通过一个二极管,称为自由轮二极管。

  4、输出电压被取样在输出端,通常通过一个电压反馈回路来保持稳定。如果输出电压低于设定值,控制闭环将调整开关的占空比增加,以增加输出电压。

5、输出电压经过一个滤波电容,以减小输出纹波。然后通过输出线路提供给负载。

需要注意的是,以上描述的是基本的降压型DC-DC转换器工作原理。实际的转换器电路可能包括其他元件,例如补偿网络、稳压器等,以提高稳定性和效率。


  降压型DC-DC转换器电路

  Fig.1是同步整流方式的降压型DC-DC转换器的电路。

  基本电路结构是在负责开关的MOSFET(Q1)之后,并联连接整流用MOSFET(Q2)和输出平滑电容器(C2),串联连接线圈与MOSFET(Q1)。

  Q1与Q2由IC输出的控制信号控制。

  同步整流方式的降压型DC-DC转换器的电路


  MOSFET(Q1)导通

  Fig.2表示开关元件Q1导通的状态。

  当Q1导通时,电流从输入Vin流过线圈L并对输出平滑电容器C2充电,提供输出电流Iout。

  此时线圈L上流过的电流产生磁场,并将电能转换成磁能蓄积储存。

开关元件Q1导通的状态


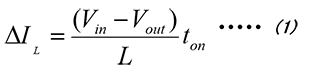
  Q1导通的ton期间,在线圈L上施加输入电压Vin与输出电压Vout的电压,以输出电流Iout为中心的纹波电流为:image.png

  ΔIL:L上流过的电流变化量(纹波电流)[A]

  Vin:输入电压[V]

  Vout:输出电压[V]

  L:线圈电感值[H]

  ton:Q1导通时间[s]

image.png


  MOSFET(Q2)导通

  Fig.3表示开关元件Q2导通的状态。

  Q1关断后Q2导通,L上储存的能量向输出侧释放。

MOSFET(Q2)导通状态


  在Q1关断的toff期间,为了维持线圈L上流动的电流,经由Q2向负载释放电流。此toff期间的纹波电流为:image.png

  ΔIL:  L上流过的电流变化量(纹波电流)[A]

  Vout:  输出电压[V]

  L:  线圈电感值[H]

  toff:  Q1关断时间[s]

image.png

 

  占空比

  由于稳态下的Q1导通公式(1)与Q2导通公式(2)的ΔIL相等,因此输入输出电压的关系为:image.png

  ton/(ton + toff)为Q1导通的时间比,被称为占空比(duty cycle)。

  Vout取决于占空比,通过控制占空比来控制Vout。  

image.pngimage.png

设(ton + toff)为开关周期T[s],此时的开关频率为fsw[Hz],将公式(1)与公式(3)整理为与fsw的关系就是:image.png

若Vin及Vout已确定,那么输出的纹波电流则由L与fsw决定。

如果纹波电流大,则输出纹波电压变大。

此外,也容易使线圈饱和,从而造成铁芯损耗增大等影响。

为了解决此类问题,需要提高开关频率,或者增加线圈的圈数来提高电感值。


相关推荐:

推荐资讯

  • DEI1026航空电子六通道离散信号转数字信号接口芯片
    DEI1026航空电子六通道离散信号转数字信号接口芯片 2025-07-15 08:55:29

    DEI1026是一款航空级6通道离散-数字接口芯片,能将开/地离散信号转换为TTL/CMOS兼容的数字信号,适用于航空、航天及高可靠性工业系统。提供塑料封装(DEI1026-G,商用级,-55°C~+85°C)和陶瓷封装(DEI1026-WMB,军工级,-55°C~+125°C),支持4.5V~5.5V供电,具有≤3V/≥3.5V的输入检测阈值、150~170ns传输延迟.

  • DBCL-34002 MIL-STD-1553数据总线耦合器iNRCORE
    DBCL-34002 MIL-STD-1553数据总线耦合器iNRCORE 2024-06-04 09:21:15

    DBCL-34002是iNRCORE生产的一款MIL-STD-1553标准数据总线耦合器,提供2至5个端口,支持58.5欧姆非线性阻抗和无感设计,具备过载保护和回授限幅功能。数据传输速率为1Mbps,每条消息最多32字,确保实时性和完整性,适用于军事领域的飞机、舰船、坦克等平台,保障子系统间高效数据通信。

在线留言

在线留言