欢迎来深圳市3118云顶集团创展科技有限公司官方网站!
24H服务热线
0755-83050846 / 83039348
IC集成电路
品牌名称:Microsemi
重要参数:
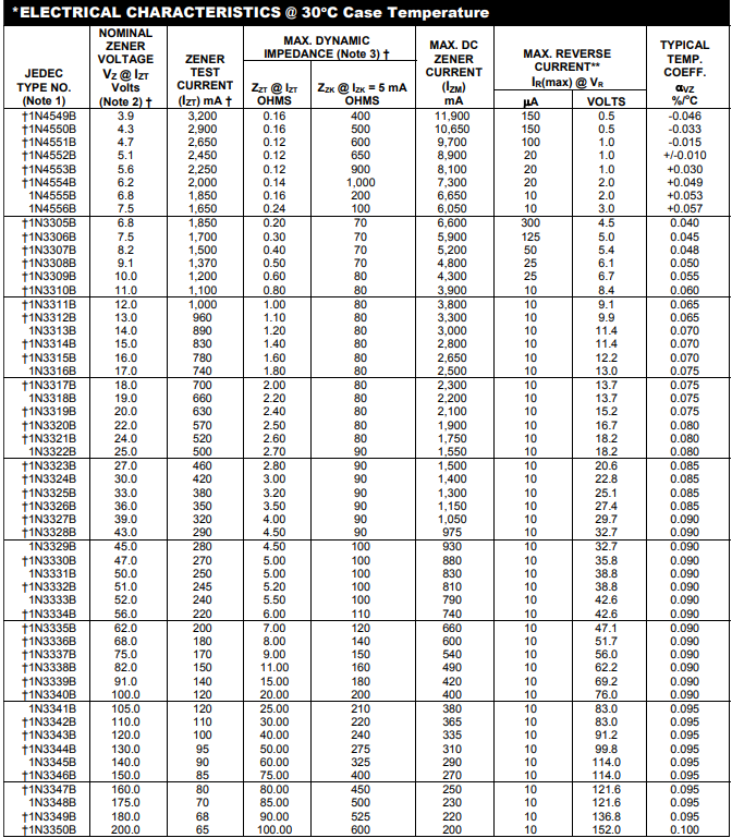
电压:3.9V-200V
功率:50W
封装:工业标准DO-5(DO-203AB)
重量:15g
JANTX1N3306BMSC
JANTX1N3309RBMSC
JANTX1N3311BMSC
JANTX1N3314BMSC
上一个: JANTX1N3022B-1单通道二极管 原装现货
下一个: JANTX1N3595US/TR整流二极管
推荐产品
在线留言